2025年2月26日,澳大利亚发布了新的Greenhouse and Energy Minimum Standards (LED Lamps) Determination 2025,首次将LED灯纳入GEMS(MEPS)管控范围内,并引入AS/NZS 5341:2021 LED灯-测试方法-能效和功能性能标准完成测试。澳洲GEMS是澳大利亚和新西兰政府于2012年10月1日联合推出的强制性认证,旨在通过设定最低能效要求,提高产品的能效利用效率,减少温室气体的排放。
关于在新标准管控范围内的LED产品,以下情况需要注意:
• 标准在2026年3月3日强制生效,并于 2025年3月3日起可在《联邦立法公报》上登记注册;
• 引入了基准最低性能标准 (MEPS)、强制性包装、标签和其他要求;
• 支持根据Greenhouse and Energy Minimum Standards Act 2012 (Act) 第16至19条,对于2026年3月3日前进口的库存产品可按照旧法规要求继续销售;
• 标准测试的参考方法AS/NZS 5341:2021,测试周期为3600小时。
法规更新的目的和影响:
• 尽可能与欧盟 (EU) 照明生态设计法规保持一致,并鼓励生产供应更多节能产品来节省资金、能源的使用和减少温室气体的排放;
• 支持销售更节能的LED灯,于2025年10月起逐步淘汰低效率的白炽灯,包含带反射罩的定向和非定向的白炽灯和卤素灯;
• 创造企业对创新技术的投资;
• 减少电力消耗。
了解您的义务:
• 了解哪些LED产品会受到影响;
• 如果你的产品在新法规的管控范围内,请在生效日期(2026年3月3日)前注册,否则无法在市场上销售这些产品;
• 产品注册需要提交相关信息和符合最低能效要求的MEPS测试报告(包含标准规定的3600小时的流明维持率和耐久性测试);
• 注册有效期为自生效日期起5年,可以按照单个型号或者系列型号去注册;
- 单个型号:需要提供测试报告;
- 系列型号:要提供至少一份针对最低效率型号的测试报告;某些参数(紫外线危害、蓝光危害)需要提供系列中新规第7(3)条款所列特性的型号的测试报告;
- 特殊用途系列,您必须根据新规第7(4)(b)条款,为系列中的每个型号提供测试报告。
• 注册费用:单个型号或型号系列申请的注册费相同,费用为$440;更新注册去增加额外的型号费用为$210;更新注册人的费用为$210。
Greenhouse and Energy Minimum Standards (LED Lamps) Determination 2025 澳洲GEMS 2025年温室和能源最低标准(LED灯)法规
针对的产品范围:LED lamps
1、一般条件(需要满足下面的条件要求)
a)色坐标x和y在如下范围内:
0, 270 以及– 2, 3172 x²+2, 3653 x – 0, 2199
b)单位发光面投影面积光通量< 500 lm/mm²;
c)光通量在100 ~ 82 000 lm之间;
d)包含一个或多个LEDs。
2、Single-capped LED lamps 单端灯头的LED灯
带有以下类型的灯头之一:
a)BA15d, B15d, B22d, E11, E12, E13, E14, E17, E26, E27, E39, E40, GU10, GZ10, GX10, GU24, GX53, G9;
b)Bi-pin lamp caps G4, GU4, GY4, GZ4, GU5.3, GX5.3, G6.35, GY6.35, GU7, G53。
3、Double-capped LED lamps涵盖标称长度为 550 mm 至 1500 mm 的双端 LED 灯
a)G5 和 G13 灯头的LED灯管,用于替换具有相同灯头的荧光灯管;
b)GX16t-5 灯头的双端LED灯。
不管是单独的LED lamps还是在containing product包含产品中的LED lamps,都在上面的标准范围内。
豁免的产品范围:
1、设计用于在飞机上使用或者航空用途的LED灯;
2、其它特殊用途的LED灯。
a)有效紫外线功率>2mW/klm或者峰值辐射波长在180至280 nm之间的紫外灯;
b)400至480nm 范围内发射的辐射功率占250至800nm 范围内发射总辐射功率的40% 或以上的珊瑚虫黄藻共生LED灯;
c)光合光子效率PPE>2.5µmol/J或者700-800nm范围内的辐射功率≥25%*(250-800 nm范围内的辐射功率),主要用途是植物照明的光源;
d)光束角小于10°的LED灯;
e)colour-tunable LED lamps全彩可调的LED灯,不包含用于光转换的荧光粉材料的LED灯,可以发出红绿蓝三种颜色,且色纯度满足下面表格要求:
GEMS level requirements(生态设计要求-能效要求)
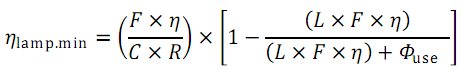
1、LED灯的发光效率 (ηlamp) 不得低于最低发光效率 (ηlamp.min);
2、对于需要参考控制设置的灯,LED灯的发光效率在参考控制设置档位测试,光效通过useful luminous flux (Φuse)有效光通量和on-mode power (Pon)工作模式功率计算,ηlamp=Φuse/ Pon;
3、最低光效要求是有效光通量(Φuse)和显色指数 (CRI) 的函数,公式如下:
其中 η是光效阈值,为120 lm/W。L是终端损耗因子,对于connected LED lamp为 2.0 W,其他类型的灯为1.5 W。F是光效因子,对于使用总光通量的非定向LED灯(NDLL),为1.00;对于使用90°或120°锥体中的光通量的定向LED灯(DLL),为0.85;对于使用前向流明测量值(对应于180°锥体),光束角为0
4、待机功率 (Psb) 不得超过0.5W;网络待机功率 (Pnet) 不得超过0.5W。
GEMS performance requirements(性能要求)

GEMS Health requirements(对影响人类健康的要求)

GEMS labelling requirements标识要求
灯体上显示的信息
• LED灯必须在其表面以清晰易读的字体显示
a)额定有效光通量(lm)和相关色温(K)
b)对于定向LED灯,应显示额定光束角(°)
• 如果表面空间不足以显示所有所需值,且不会过度遮挡发光,则应:
a)如果空间仅能显示一个值,则必须显示额定有效光通量
b)如果空间能显示两个值,则必须显示额定有效光通量和相关色温
包装上应显示的信息
• 必须清晰醒目地显示在包装上,需要符合下面表格所列的任何具体格式或准确性要求,在不限制信息显示形式的前提下,可以借助图表、图纸或符号来表示:

等效非定向白炽灯或卤素灯的标称功率所对应的最小光通量
关于WATC
世盟检测认证(深圳)有限责任公司(简 称 为“WATC”),成立于 2021年,是一家专业的国际第三方检测认证机构。
自成立以来,WATC始终以“专业、权威、高效、精准”的服务理念,致力于为国内外进出口企业提供专业的检测认证服务,助力客户的产品快速进军各国市场。WATC严格按照ISO/IEC17025 的实验室质量管理体系标准进行管理和运行,拥有国际一流的检测设备和专家技术团队,产品服务范围覆盖无线类、信息技术类、家电类、音视频类等,可为广大客户提供专业的摸底、测试、认证一站式服务。